62+ calculate the energy of a photon of electromagnetic radiation

E Photon energy. Web Calculate the energy of a photon of electromagnetic radiation at each of the following frequencies.


How To Calculate The Energy Of A Photon Given Frequency Wavelength In Nm Chemistry Youtube

View the full answer Transcribed image text.

. E hc λ 6626 1034Js 2998 108ms1 670 109m 2965 1019J 3 significant figures 1 guard digit. Web Photon is the quantum of light and light is electromagnetic wave which carries momentum and energy. 1033 MHz typical frequency for FM radio broadcasting Express.

H Planck constant. Calculate the energy of a photon of electromagnetic radiation with a wavelength. Web Visible red light with a wavelength of 700 nm for example has a frequency of 429 x 10 14 Hz and an energy of 284 x 10-19 J per photon or 171 kJ per mole of.

Check out the steps to calculate the photon energy formula. Web Energy of a photon hck where h is Plancks c. Web To calculate a photons energy from its wavelength.

Our first step is to recall that. Web Online Photon Energy Calculator computes the energy of a photon by taking wavelength frequency. F E h.

Calculate the energy of a photon. Ie If the total energy transferred to a surface in time t is U then pUc. Web The formula used to calculate the frequency of an electromagnetic wave is.

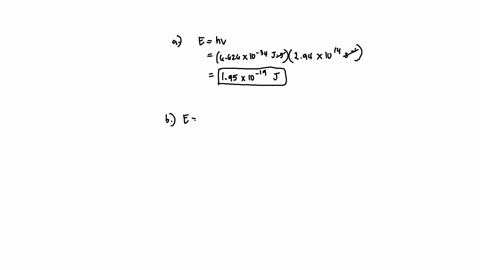
F Frequency of EM wave. Multiply Plancks constant 66261 10³⁴ Js by the speed of light 299792458 ms. Web Step 1.

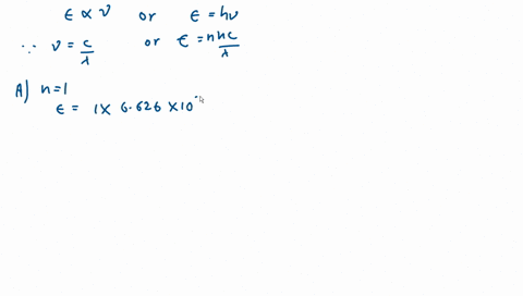
Web The Photon energy formula is given by E h c λ Where E photon energy h Plancks constant 66261034 Js c speed of the light and λ wavelength of the light. Web We need to determine the energy for a single photon of radiation that has a frequency that measures 396 times 10 to the 15th power inverse seconds.


Solved A Calculate The Energy Of A Photon Of Electromagnetic Radiation Whose Frequency Is 6 75 10 12 S 1 B Calculate The Energy Of A Photon Of Radiation Whose Wavelength Is 322 Nm C


First Document Gsi


Calculate The Energy Of Photons Of Radiation Whose Wavelength Is 5000a Youtube


A Photon Of Radiation Of Wavelengh 600 Nm Has An Energy E The Wavelength Of Photon Of Radiation Having Brainly In


Solved A Calculate The Energy Of A Photon Of Electromagnetic Radiation Whose Frequency Is 6 75 10 12 S 1 B Calculate The Energy Of A Photon Of Radiation Whose Wavelength Is 322 Nm C


Find Energy Of Each Of The Photons Which I Correspond To Light Of Frequency 3 10 15hz Ii Have Wavelength Of 0 50 A


Calculate The Frequency And Energy Of A Photon Of Radiation Having Wavelength 3000 Ao Structure Of Atom Chemistry Class 11


Energy Of Photon


Solved Quantum Physics Photon Energy Electromagnetic Wave Chegg Com


Solved What Is The Energy Of A Photon Of Electromagnetic Chegg Com


Solved Calculate The Wavelength Of Electromagnetic Radiation With An Energy Per Photon Of 3 00 X 10 19 589 Nm B 1 36 X 1032 Nm 358 Nm 6 62 X 10 7 Nm 662 Nm


Solved A Calculate The Energy Of A Photon Of Electromagnetic Radiation Whose Frequency Is 6 75 10 12 S 1 B Calculate The Energy Of A Photon Of Radiation Whose Wavelength Is 322 Nm C


Solved A Calculate The Energy Of A Photon Of Electromagnetic Radiation Whose Frequency Is 6 75 10 12 S 1 B Calculate The Energy Of A Photon Of Radiation Whose Wavelength Is 322 Nm C


Photon Energies And The Electromagnetic Spectrum Physics


What Is The Wavelength Of The Radiation With Photon Energy Which Is The Mean Value Of Photon Energies Of Radiations With Wavelength Lamda1 4000 A And Lamda2 6000 A


Pdf Caqs Ebook Alex Milliron Academia Edu


The Energy Of A Photon Of Radiation Having Wavelength 300 Nm Is

Iklan Atas Artikel

Iklan Tengah Artikel 1

Iklan Tengah Artikel 2

Iklan Bawah Artikel